IRR
Basic Overview
| Description | Internal rate of return (IRR) is a metric of profitability for potential investments. Internal rate of return is a discount rate that sets the net present value (NPV) of all future cash flows the investment equal to zero. An approximate solution is found using numerical iteration. | 
|---|---|
| Signature | IRR(Node [, Guess]) | 
| Parameters | 
 | 
Example
We have project with following cash-flows.
'CF'=
| Year | CF | 
|---|---|
| 2018 | -10000 | 
| 2019 | 1155 | 
| 2020 | 5000 | 
| 2021 | 7000 | 
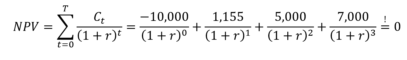
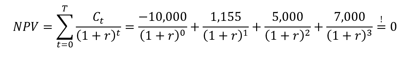
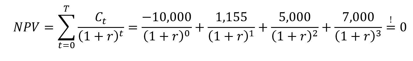
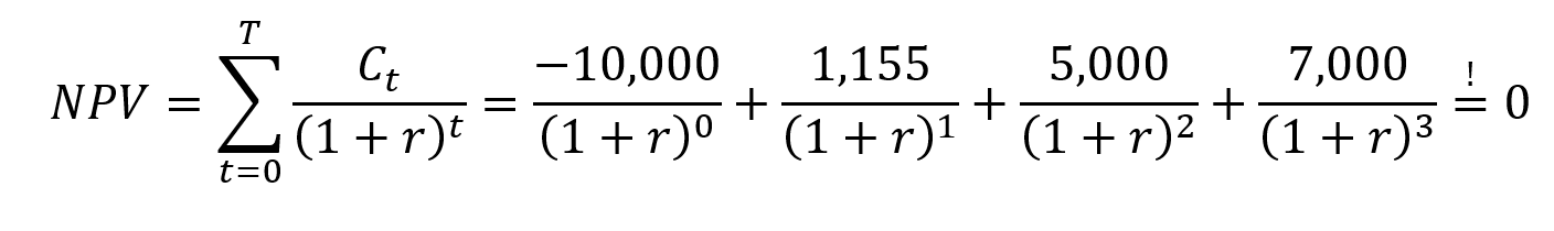
Our goal is to find a discount rate with which the discounted cash flows sum-up to zero:

IRR('CF')=
| Year | Totals | 
|---|---|
| 2020 | -23% | 
| 2021 | 12% | 
The IRR function tells us the rate is 12%. The result for Cash Flows up to year 2020 is not interesting for us and can be filtered out with FILTER function.
